


x>0
x ≠ 1
Пусть
[m]x^{2+log_{2}x}=t[/m]
Логарифмируем по основанию 2:
[m]log_{2}x^{2+log_{2}x}=log_{2}t[/m]
Тогда по свойству логарифма степени:
[m](2+log_{2}x)log_{2}x=log_{2}t[/m] ⇒ [m]t=2^{(2+log_{2}x)log_{2}x}[/m]
[m]\frac{1}{4}\cdot2^{(2+log_{2}x)log_{2}x}-2log^2_{2}x-4log_{2}x+4\leq 0[/m]
[m]2^{-2}\cdot2^{log^2{2}x+2log_{2}x}-2log^2_{2}x-4log_{2}x+4\leq 0[/m]
[m]2^{log^2{2}x+2log_{2}x-2}-2\cdot (log^2_{2}x+2log_{2}x-2)\leq 0[/m]
Пусть
[m]log^2_{2}x+2log_{2}x-2=u[/m]
Неравенство примет вид:
[m]2^{u}-2u\leq 0[/m]
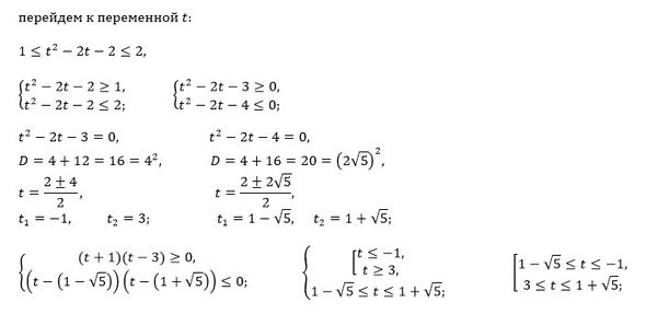
Решаем графически ( см. рис.)
[m]1 ≤ u ≤ 2[/m]
[m] 1≤ log^2_{2}x+2log_{2}x-2 ≤ 2[/m] ⇒
[m]\left\{\begin{matrix} log^2_{2}x+2log_{2}x-2 \leq 2\\ log^2_{2}x+2log_{2}x-2 \geq 1 \end{matrix}\right.[/m][m]\left\{\begin{matrix} log^2_{2}x+2log_{2}x-4 \leq 0\\ log^2_{2}x+2log_{2}x-3 \geq 0 \end{matrix}\right.[/m]
[m]\begin{matrix} log^2_{2}x+2log_{2}x-4 \leq 0 &log^2_{2}x+2log_{2}x-3 \geq 0 & \\ D=4+16=20 & D=4+12=16 & \\ -1-\sqrt{5}\leq log_{2}x\leq -1+\sqrt{5} & x\leq -3; x\geq 1 \end{matrix}[/m]
⇒
[m] -1-\sqrt{5}\leq log_{2}x\leq-2[/m]; [m] 1\leq log_{2}x\leq-1+\sqrt{5}[/m]
⇒ в силу возрастания логарифмической функции с основанием 2:
[m] 2^{-1-\sqrt{5}}\leq x\leq2^{-2}[/m]; [m] 2^{1}\leq x\leq 2^{-1+\sqrt{5}}[/m]
Найденные решения удовл ОДЗ
О т в е т. [m] [2^{-1-\sqrt{5}};2^{-2}]\cup[ 2^{1}; 2^{-1+\sqrt{5}}][/m]