Задать свой вопрос
*более 50 000 пользователей получили ответ на «Решим всё»
Задача 52862
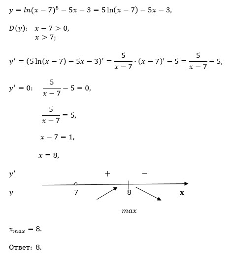
Найти точку максимума y=ln(x-7)^5-5x-3...
Условие
slava191
2020-07-11 20:04:18
Найти точку максимума y=ln(x-7)^5-5x-3
математика 10-11 класс
8441
Решение
u821511235
2020-07-11 20:23:27
★
Написать комментарий
Категория
Профильный ЕГЭ по Математике 2020
Задание 12 (поиск точки максимума или минимума)
Меню
Решим всё
Найти задачу
Категории
Статьи
Тесты
Архив задач
Присоединяйся в ВК