Задать свой вопрос
*более 50 000 пользователей получили ответ на «Решим всё»
Задача 52858
...
Условие
slava191
2020-07-11 19:10:18
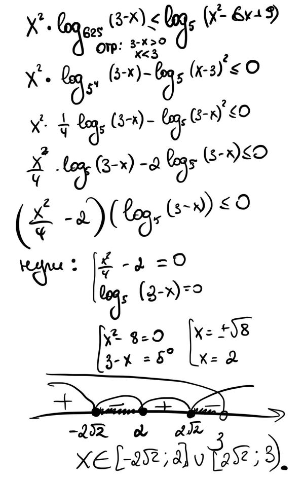
x^2log(625)(3-x) ≤ log5(x^2-6x+9)
математика 10-11 класс
19785
Решение
Решения из вк
Написать комментарий
Категория
Профильный ЕГЭ по Математике 2020
Задание 15 (неравенство с логарифмом)
Меню
Решим всё
Найти задачу
Категории
Статьи
Тесты
Архив задач
Присоединяйся в ВК