Задать свой вопрос   *более 50 000 пользователей получили ответ на «Решим всё»

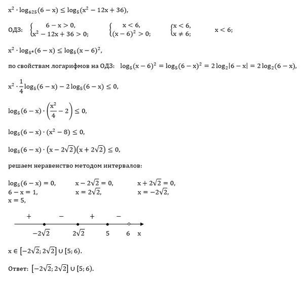
Задача 52843 x^2 *log 625(x-6) <= log5(x^2-12x+36)...

Условие

x^2 *log 625(x-6) <= log5(x^2-12x+36)

математика 23363

Все решения

{x-6>0
{x^2-12x+36>0 ⇒

ОДЗ: [red]x>6[/red]

x^2log_(5^4)(x-6) ≤ log_(5)(x-6)^2
x^2*(1/4)log_(5)(x-6) ≤ 2 log_(5)(x-6)

x^2*(1/4)log_(5)(x-6) - 2 log_(5)(x-6) ≤ 0

log_(5)(x-6)*((x^2/4)-2) ≤ 0

log_(5)(x-6)=0 ⇒ x-6=5^(0) ⇒ x-6=1; x=7

(x^2/4)-2=0 ⇒ x= ± 2sqrt(2)

-2sqrt(2)<6 и

2sqrt(2) <6


(6) _-__ [7] __+___

О т в е т. (6;7]

Написать комментарий

Категория

Меню

Присоединяйся в ВК