Задать свой вопрос   *более 50 000 пользователей получили ответ на «Решим всё»

Задача 52812 ...

Условие

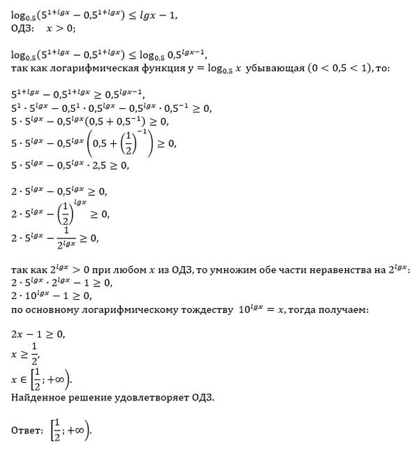
Решить неравенство log(0,5)(5^(1 + lg x) - 0,5^(1 + lg x)) ≤ lg x - 1

математика 10-11 класс 1885

Все решения

ОДЗ: x >0

[m]log_{0,5}0,5^{1+lgx}\cdot (\frac{5^{1+lgx}}{0,5^{1+lgx}}-1)\leq lgx-1[/m]

[m]log_{0,5}0,5^{1+lgx}+log_{0,5}((\frac{5}{0,5})^{1+lgx}-1)\leq lgx-1[/m]

[m]1+lgx+log_{0,5}(10^{1+lgx}-1)\leq lgx-1[/m]

[m]log_{0,5}(10x-1)\leq -2[/m]

[m]log_{0,5}(10x-1)\leq log_{0,5}4[/m]

Логарифмическая функция убывает, поэтому

10х-1 ≥ 4

10х ≥ 5

x ≥ 0,5

Удовл ОДЗ

О т в е т. [0,5;+ ∞ )

Написать комментарий

Категория

Меню

Присоединяйся в ВК