Задать свой вопрос
*более 50 000 пользователей получили ответ на «Решим всё»
Задача 52795
...
Условие
viki127
2020-07-01 18:15:50
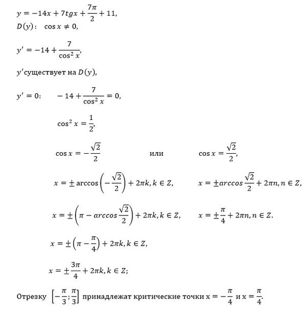
Найдите наименьшее значение функции у = -14x + 7tgx + 7π/2 + 11 на отрезке [ -π/3 ; π/3 ].
математика 10-11 класс
2292
Все решения
u821511235
2020-07-12 21:25:08
Написать комментарий
Меню
Решим всё
Найти задачу
Категории
Статьи
Тесты
Архив задач
Присоединяйся в ВК