Задать свой вопрос   *более 50 000 пользователей получили ответ на «Решим всё»

Задача 52772 Расскажите, как найти предел функции? ...

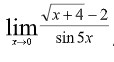
Условие

Расскажите, как найти предел функции?

математика 1028

Все решения

Я бы воспользовался правилом Лопиталя. Все предельно просто. Находишь производные функций в числителе и знаменателе. Затем подставляешь в найденные функции 0 . Найденное значение и есть предел

Написать комментарий

Меню

Присоединяйся в ВК