Задать свой вопрос
*более 50 000 пользователей получили ответ на «Решим всё»
Задача 52711
...
Условие
viki127
2020-06-25 17:25:03
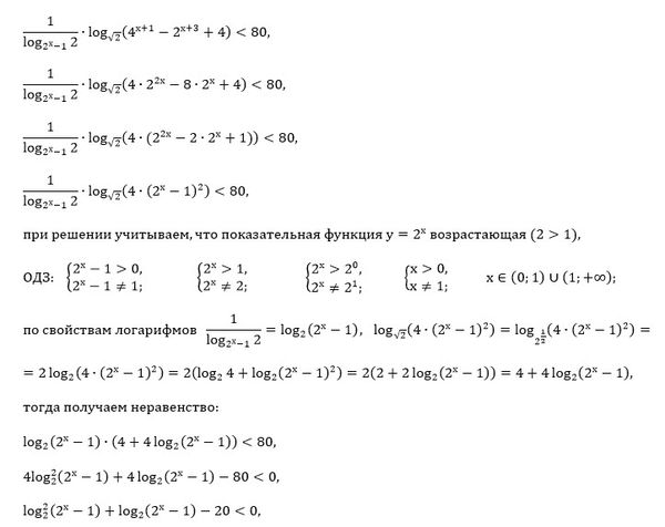
Решить неравенство (1 / log(2^x-1)2) * log(√2)(4^(x+1) - 2^(x+3) + 4) < 80
математика 10-11 класс
1008
Решение
u821511235
2020-06-25 22:14:31
★
Написать комментарий
Категория
ЕГЭ по Математике (проф.)
задание 15 (неравенство)
Меню
Решим всё
Найти задачу
Категории
Статьи
Тесты
Архив задач
Присоединяйся в ВК