Задать свой вопрос   *более 50 000 пользователей получили ответ на «Решим всё»

Задача 52700 ...

Условие

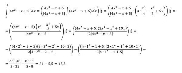
3. Вычислите интеграл ∫ (4x^3 - x+5) dx

математика 898

Все решения

Достаточно убедиться, что на [1;2] функция
y=4x^3-x+5 принимает положительные значения и тогда

|4x^3-x+5|=[b]4x^3-x+5[/b]


Применяем исследование функции с помощью производной:

y`=12x^2-1 ⇒ y`=0 ⇒ x^2=1/12

[b]x= ± 1/sqrt(12)[/b]

Функция [i]возрастает[/i] на (- ∞ ;-1/sqrt(12))U(1/sqrt(12);+ ∞ )

[i]Убывает[/i] на (-1/sqrt(12);1/sqrt(12))

⇒ x=1/sqrt(12) - точка минимума

y_(1/sqrt(12))=(3/sqrt(12))-(1/sqrt(12))+5 >0

на (1/sqrt(12);+ ∞ ) функция возрастает

Cм. рис.

Наименьшее значение положительно, значит 4x^3-x+5 >0 на отрезке [1;2]

и |4x^3-x+5|=4x^3-x+5 на отрезке [1;2]

Тогда

∫^(2)_(1)|4x^3-x+5|dx= ∫^(2)_(1)(4x^3-x+5)dx=(4*(x^4/4)-(x^2/2)+5x)|^(2)_(1)=2^4-1-(1/2)*(2^2-1)+5*(2-1)=[b]18,5[/b]

Написать комментарий

Меню

Присоединяйся в ВК