Задать свой вопрос   *более 50 000 пользователей получили ответ на «Решим всё»

Задача 5262 Трое рабочих за смену изготовили 49...

Условие

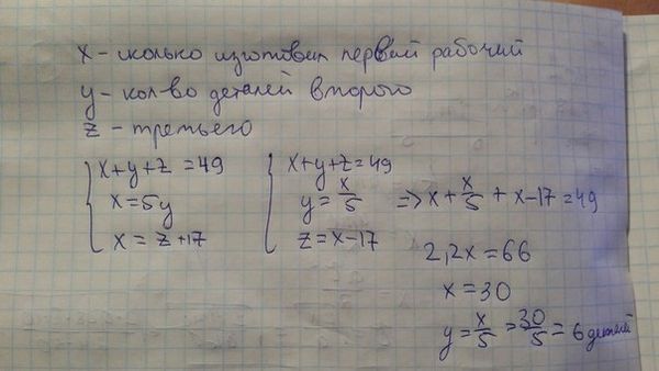
Трое рабочих за смену изготовили 49 деталей. 1 рабочий изготовил в 5 раз больше деталей,чем 2, и на 17 деталей больше,чем 3 рабочий. Какое количество деталей изготовил 2 рабочий.

математика 6-7 класс 1844

Решение

Написать комментарий

Меню

Присоединяйся в ВК