Задать свой вопрос
*более 50 000 пользователей получили ответ на «Решим всё»
Задача 52606
Написать программу решения задачи на...
Условие
vk185580820
2020-06-22 13:10:37
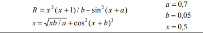
Написать программу решения задачи на языке VBA
информатика ВУЗ
730
О решение...
На нашем сайте такое бывает редко, но решение к данной задаче еще никто не написал.
Что Вы можете сделать?
Выставите данный вопрос вновь. Перейдите на
главную страницу
.
Найдите похожую задачу. Используйте
поиск
.
Написать комментарий
Меню
Решим всё
Найти задачу
Категории
Статьи
Тесты
Архив задач
Присоединяйся в ВК