Задать свой вопрос   *более 50 000 пользователей получили ответ на «Решим всё»

Задача 52537 Вычислите значение производной функции в...

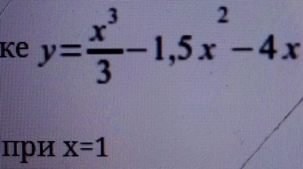
Условие

Вычислите значение производной функции в заданной точке

математика ВУЗ 814

Все решения

y`=(3x^2/3)-2*1,5x-4

y`=x^2-3x-4

y`(1)=1^2-3*1-4=[b]-6[/b]

Написать комментарий

Меню

Присоединяйся в ВК