Задать свой вопрос
*более 50 000 пользователей получили ответ на «Решим всё»
Задача 52518
Помогите пожалуйста решить! С...
Условие
vk477579336
2020-06-17 21:00:42
Помогите пожалуйста решить!
С формулами,если можно
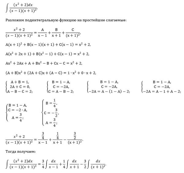
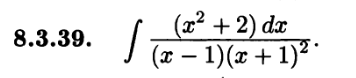
Найти интегралы:
математика ВУЗ
603
Все решения
u821511235
2020-06-22 17:29:31
Написать комментарий
Меню
Решим всё
Найти задачу
Категории
Статьи
Тесты
Архив задач
Присоединяйся в ВК