Задать свой вопрос
*более 50 000 пользователей получили ответ на «Решим всё»
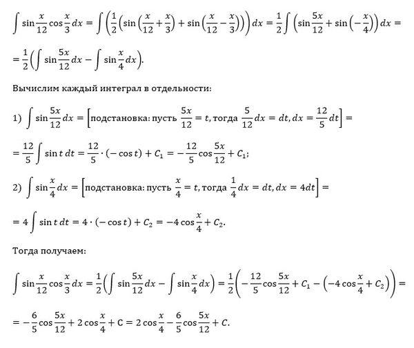
Задача 52517
Помогите пожалуйста решить! С...
Условие
vk477579336
2020-06-17 20:54:28
Помогите пожалуйста решить!
С формулами,если можно
математика ВУЗ
707
Все решения
u821511235
2020-06-22 17:55:14
Написать комментарий
Меню
Решим всё
Найти задачу
Категории
Статьи
Тесты
Архив задач
Присоединяйся в ВК