Задать свой вопрос   *более 50 000 пользователей получили ответ на «Решим всё»

Задача 52492 Помогите,пожалуйста! Если не сложно,то с...

Условие

Помогите,пожалуйста!
Если не сложно,то с формулами.

математика ВУЗ 680

Решение

z=arcsinu

z`=[m]\frac{u`}{\sqrt{1-u^2}}[/m]

∂z/∂x= z`_(x)=[m]\frac{(xy)`_{x, y=const}}{\sqrt{1-(xy)^2}}=\frac{y}{\sqrt{1-(xy)^2}}[/m]

∂z/∂y= z`_(y)=[m]\frac{(xy)`_{y,x=const}}{\sqrt{1-(xy)^2}}=\frac{x}{\sqrt{1-(xy)^2}}[/m]


∂^2z/∂x^2= (z`_(x))`_(x)=[m](\frac{y}{\sqrt{1-(xy)^2}})`_{x, y=const}=[/m]

[m]=y\cdot ((1-x^2y^2)^{-\frac{1}{2}})`_{x}=y\cdot(- \frac{1}{2})\cdot(1-x^2y^2)^{-
\frac{1}{2}-1}\cdot (1-x^2y^2)`_{x}=[/m]

[red][m]=\frac{xy^3}{\sqrt{(1-x^2y^2)^3}}[/m]
[/red]

∂^2z/∂x ∂y= (z`_(x))`_(y)=[m](\frac{y}{\sqrt{1-(xy)^2}})`_{y, x=const}=[/m]

[m]=y`\cdot (1-x^2y^2)^{-\frac{1}{2}}+y\cdot ((1-x^2y^2)^{-\frac{1}{2}})`_{y}=(1-x^2y^2)^{-\frac{1}{2}}+[/m]

[m]+y\cdot(- \frac{1}{2})\cdot(1-x^2y^2)^{-\frac{1}{2}-1}\cdot (1-x^2y^2)`_{y}=[/m]

[green][m]=\frac{1}{\sqrt{(1-x^2y^2)^3}}[/m] [/green]


∂^2z/∂y^2= (z`_(y))`_(y)=[m](\frac{x}{\sqrt{1-(xy)^2}})`_{y, x=const}=[/m]

[m]=x\cdot ((1-x^2y^2)^{-\frac{1}{2}})`_{y}=x\cdot(- \frac{1}{2})\cdot(1-x^2y^2)^{-\frac{1}{2}-1}\cdot (1-x^2y^2)`_{y}=[/m]

[blue][m]=\frac{x^3y}{\sqrt{(1-x^2y^2)^3}}=[/m] [/blue]

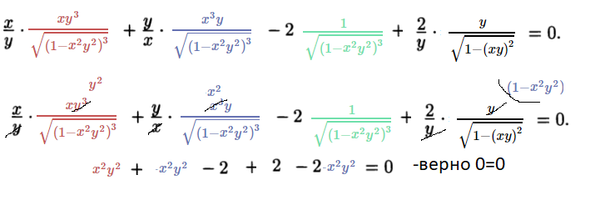
Подставляем найденные производные в уравнение:

Написать комментарий

Меню

Присоединяйся в ВК