Задать свой вопрос
*более 50 000 пользователей получили ответ на «Решим всё»
Задача 52422
...
Условие
vk185629374
2020-06-14 12:52:39
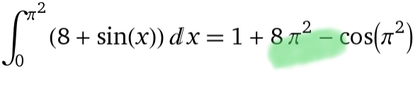
Вычисли площадь фигуры, ограниченной линиями: y=8+sinx,y=0,x=0,x=π2.
математика 10-11 класс
1740
Все решения
slava191
2020-06-14 16:35:58
Написать комментарий
Меню
Решим всё
Найти задачу
Категории
Статьи
Тесты
Архив задач
Присоединяйся в ВК