Задать свой вопрос
*более 50 000 пользователей получили ответ на «Решим всё»
Задача 52383
...
Условие
vk477579336
2020-06-12 17:03:39
Найти интегралы:
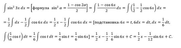
8.1.53. ∫ sin² 3x dx.
математика ВУЗ
734
Решение
u821511235
2020-06-13 15:44:21
★
Написать комментарий
Меню
Решим всё
Найти задачу
Категории
Статьи
Тесты
Архив задач
Присоединяйся в ВК