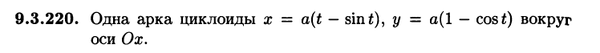
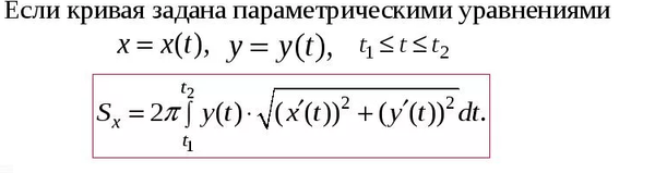
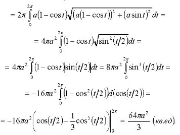
Кривая вращается вокруг оси. Вычислить площадь поверхности вращения:
y`_(t)=a*(sint)
(x`_(t))^2=a^2*(1-2cost+cos^2t)
(y`_(t))^2=a^2sin^2t
[b](x`_(t))^2+(y`_(t))^2=[/b] a^2([b]1-2cost+cos^2t+sin^2t[/b])=a^2([b]2-2cost[/b])=a^2*2*(2sin^2t/2)=4a^2sin^2(t/2)
sqrt((x`_(t))^2+(y`_(t))^2)=[red]2a*sin(t/2)[/red]
