Задать свой вопрос
*более 50 000 пользователей получили ответ на «Решим всё»
Задача 52355
...
Условие
biter
2020-06-11 11:48:01
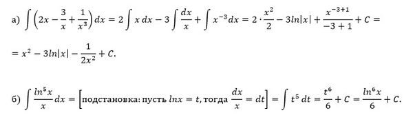
Найти неопределенные интегралы
∫(2x - 3/x + 1/x³)dx;
∫ ln⁵x/x dx
математика
726
Решение
u821511235
2020-06-11 13:19:03
★
Написать комментарий
Меню
Решим всё
Найти задачу
Категории
Статьи
Тесты
Архив задач
Присоединяйся в ВК