Задать свой вопрос
*более 50 000 пользователей получили ответ на «Решим всё»
Задача 52294
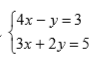
Решить систему уравнений по формулам...
Условие
biter
2020-06-09 11:30:57
Решить систему уравнений по формулам Крамера
математика
857
Решение
u821511235
2020-06-09 15:58:19
★
Написать комментарий
Меню
Решим всё
Найти задачу
Категории
Статьи
Тесты
Архив задач
Присоединяйся в ВК