Задать свой вопрос   *более 50 000 пользователей получили ответ на «Решим всё»

Задача 52291 ...

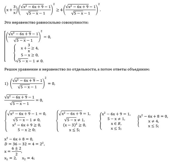
Условие

Решить неравенство
[block](x + (3)/(x)) * ((sqrt(x^2 - 6x + 9) - 1)/(sqrt(5 - x) - 1))^2 ≥ 4 * ((sqrt(x^2 - 6x + 9) - 1)/(sqrt(5 - x) - 1))^2[/block]

математика 10-11 класс 1347

Решение

Написать комментарий

Категория

Меню

Присоединяйся в ВК