Задать свой вопрос
*более 50 000 пользователей получили ответ на «Решим всё»
Задача 52285
...
Условие
biter
2020-06-09 09:33:49
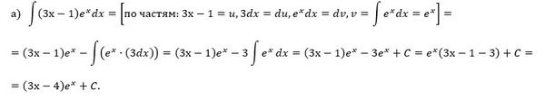
Найти неопределенный интеграл
∫(3x-1)·e^x dx
математика
666
Решение
u821511235
2020-06-09 11:23:14
★
Написать комментарий
Меню
Решим всё
Найти задачу
Категории
Статьи
Тесты
Архив задач
Присоединяйся в ВК