Задать свой вопрос
*более 50 000 пользователей получили ответ на «Решим всё»
Задача 52278
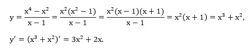
Найдите производную функции х^4-х^2/х-1...
Условие
vk264540920
2020-06-09 08:06:26
Найдите производную функции х^4-х^2/х-1
математика 10-11 класс
2324
Все решения
u821511235
2020-06-09 09:06:59
Написать комментарий
Меню
Решим всё
Найти задачу
Категории
Статьи
Тесты
Архив задач
Присоединяйся в ВК