Задать свой вопрос
*более 50 000 пользователей получили ответ на «Решим всё»
Задача 52246
...
Условие
vk267515657
2020-06-08 12:31:25
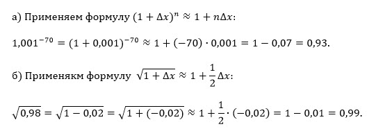
Вычислите с помощью формул приближенные значения выражений:
a) (1,001)^-70
b) √0,98
математика ВУЗ
1731
Все решения
u821511235
2020-06-09 07:25:03
Написать комментарий
Меню
Решим всё
Найти задачу
Категории
Статьи
Тесты
Архив задач
Присоединяйся в ВК