Задать свой вопрос
*более 50 000 пользователей получили ответ на «Решим всё»
Задача 52245
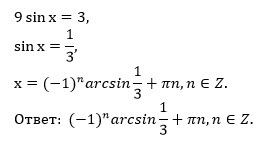
Найдите условие уравнения 9sinx=3...
Условие
vk481520617
2020-06-08 12:30:56
Найдите условие уравнения
9sinx=3
математика 10-11 класс
735
Все решения
u821511235
2020-06-08 15:31:11
Написать комментарий
Меню
Решим всё
Найти задачу
Категории
Статьи
Тесты
Архив задач
Присоединяйся в ВК