равен 0,008. Какова вероятность наиболее вероятного количества
бракованных изделий среди 100 избранных?
Варианты ответов: а) 0,49, б) 0,38, в) 0,56 г) 0,45
np - q ≤ k_(o) ≤ np+p
n=100
p=0,008
q=1-p=1-0,008=0,992
np=100*0,008=0,8
0,8-0,992 ≤ k_(o) ≤ 0,8+0,008
[b]k_(o)=0[/b]
По формуле Бернулли:
P_(100)(0)=C^(0)_(100)0,008^(0)*0,992^(100) невозможно вычислить.
Применяем формулу Лапласа:
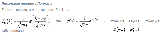
а) Применяем[i] локальную [/i]теорему Лапласа ( см. приложение 1)
P_(n)(k)=(1/sqrt(npq))*φ (x)
npq=0,8*0,992=0,7936
sqrt(0,7936) ≈ 0,89
x=(k-np)/sqrt(npq)=(0-0,8)/0,89 ≈ -0,9
φ (-0,9)= φ(0,9) функция четная
[b]φ (0,9)[/b]=0,2661 ( см. таблицу 1)
P_(100)(0)=(1/0,89)*[b] φ (0,9)[/b] ≈ 0,2989
ближе всего ответ б)