Задать свой вопрос
*более 50 000 пользователей получили ответ на «Решим всё»
Задача 52208
...
Условие
biter
2020-06-07 14:28:18
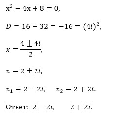
x² - 4x + 8 = 0.
математика
606
Решение
u821511235
2020-06-07 17:34:18
★
Написать комментарий
Меню
Решим всё
Найти задачу
Категории
Статьи
Тесты
Архив задач
Присоединяйся в ВК