Задать свой вопрос
*более 50 000 пользователей получили ответ на «Решим всё»
Задача 52196
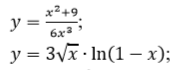
Найти производную функции...
Условие
biter
2020-06-06 20:53:05
Найти производную функции
математика
539
Решение
laalkek
2020-06-06 23:26:41
★
Написать комментарий
Меню
Решим всё
Найти задачу
Категории
Статьи
Тесты
Архив задач
Присоединяйся в ВК