Задать свой вопрос   *более 50 000 пользователей получили ответ на «Решим всё»

Задача 52185 Найти интеграл [m]\int...

Условие

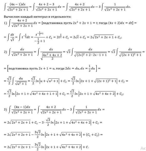
Найти интеграл [m]\int \frac{(4x-1)dx}{\sqrt{2x^{2}+2x+1}}[/m]
Был бы очень признателен, если бы Вы поподробнее расписали решение. Заранее спасибо!

математика ВУЗ 588

Решение

Написать комментарий

Меню

Присоединяйся в ВК