Задать свой вопрос
*более 50 000 пользователей получили ответ на «Решим всё»
Задача 52163
Решить систему неравенств...
Условие
nwm
2020-06-05 18:16:51
Решить систему неравенств
математика 10-11 класс
712
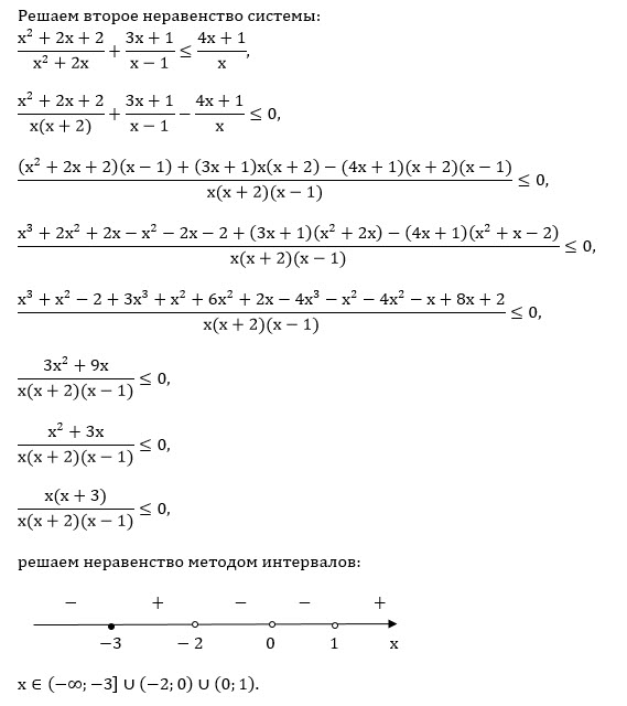
Решение
u821511235
2020-06-05 21:30:37
★
Все решения
kurikoer
2020-06-05 20:43:19
Написать комментарий
Меню
Решим всё
Найти задачу
Категории
Статьи
Тесты
Архив задач
Присоединяйся в ВК