Задать свой вопрос
*более 50 000 пользователей получили ответ на «Решим всё»
Задача 51981
...
Условие
daniello
2020-05-31 11:27:11
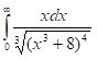
∫ (from 0 to ∞) of (x dx) / (∛(x^3 + 8))^4
математика
480
О решение...
На нашем сайте такое бывает редко, но решение к данной задаче еще никто не написал.
Что Вы можете сделать?
Выставите данный вопрос вновь. Перейдите на
главную страницу
.
Найдите похожую задачу. Используйте
поиск
.
Написать комментарий
Меню
Решим всё
Найти задачу
Категории
Статьи
Тесты
Архив задач
Присоединяйся в ВК