Задать свой вопрос   *более 50 000 пользователей получили ответ на «Решим всё»

Задача 51972 помогите решить дифференциальное...

Условие

помогите решить дифференциальное уравнение
(y')^3-5(y')^2+y'+4=0

предмет не задан 787

Решение

Решаем кубическое уравнение.

Получаем три корня.

y`(x)=t_(1); y`(x)=t_(2); y`=t_(3);

где t_(1);t_(2); t_(3)- действительные числа

Получаем три решения

y_(1)(x)= ∫ t_(1)dx=t_(1)x+c_(1)

y_(2)(x)= ∫ t_(2)dx=t_(2)x+c_(2)

y_(3)(x)= ∫ t_(3)dx=t_(3)x+c_(3)

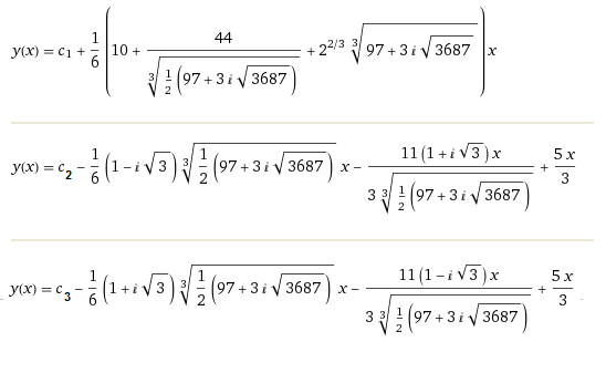
WolframAlpha выдает ответы:


Написать комментарий

Категория

Меню

Присоединяйся в ВК