Задать свой вопрос   *более 50 000 пользователей получили ответ на «Решим всё»

Задача 51936 Вычислить площадь плоской фигуры,...

Условие

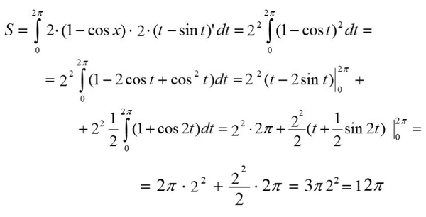
Вычислить площадь плоской фигуры, ограниченной одной аркой циклоиды x=2(t-sint), y=2(1-cost) и осью Ох.

математика ВУЗ 6777

Все решения

Написать комментарий

Меню

Присоединяйся в ВК