Задать свой вопрос   *более 50 000 пользователей получили ответ на «Решим всё»

Задача 51893 Случайная величина Х распределена по...

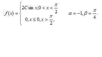
Условие

Случайная величина Х распределена по закону с функцией плотности вероятности , зависящей от постоянного параметра С. Найти:
1) значение постоянного параметра С,
2) функцию распределения ,
3) математическое ожидание, дисперсию, среднеквадратическое отклонение,
4) вероятность того, что случайная величина Х примет в результате испытания какое-нибудь значение из интервала .

математика ВУЗ 695

О решение...

На нашем сайте такое бывает редко, но решение к данной задаче еще никто не написал.

Что Вы можете сделать?

  1. Выставите данный вопрос вновь. Перейдите на главную страницу.
  2. Найдите похожую задачу. Используйте поиск.

Написать комментарий

Меню

Присоединяйся в ВК