Задать свой вопрос   *более 50 000 пользователей получили ответ на «Решим всё»

Задача 5182 а) Решите уравнение 2sin^2x =...

Условие

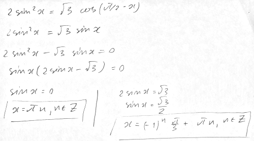
а) Решите уравнение 2sin^2x = sqrt(3)cos(Pi/2-x)
Б) Найдите корни на отрезке [9pi/2;6pi]

математика 10-11 класс 25724

Решение

По формулам привидения получим. 2(sin^2)x=sqrt(3)sinx
сократим на синус получим sinx=sqrt(3)/2
Ответом к пункту а) х=pi/3+2pin где n - целое.
и x=2pi/3+2pin где n-целое.
Б)Для решения этого пункта удобно рисовать окружность, где видны сразу ответы.
9pi/2+pi/6=28pi/6=14pi/3


Ответ: а)х=pi/3+2pin где n - целое. и x=2pi/3+2pin где n-целое. б)14pi/3; 5Pi; 6Pi

Ошибки в решение (1)
Вопросы к решению (1)

Все решения

Потерян корень x=Pin, если сокращаешь как ты сократил на sinx, учитывай, что корень теряется (sinx=0)

Написать комментарий

Меню

Присоединяйся в ВК