Задать свой вопрос
*более 50 000 пользователей получили ответ на «Решим всё»
Задача 51772
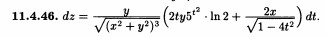
тут решение и нужно пересчитать его по...
Условие
pomogitepj
2020-05-27 15:07:09
тут решение и нужно пересчитать его по формуле (ответ последний скрин)
математика ВУЗ
462
О решение...
На нашем сайте такое бывает редко, но решение к данной задаче еще никто не написал.
Что Вы можете сделать?
Выставите данный вопрос вновь. Перейдите на
главную страницу
.
Найдите похожую задачу. Используйте
поиск
.
Написать комментарий
Меню
Решим всё
Найти задачу
Категории
Статьи
Тесты
Архив задач
Присоединяйся в ВК