Задать свой вопрос
*более 50 000 пользователей получили ответ на «Решим всё»
Задача 51573
...
Условие
vk557167629
2020-05-25 20:56:27
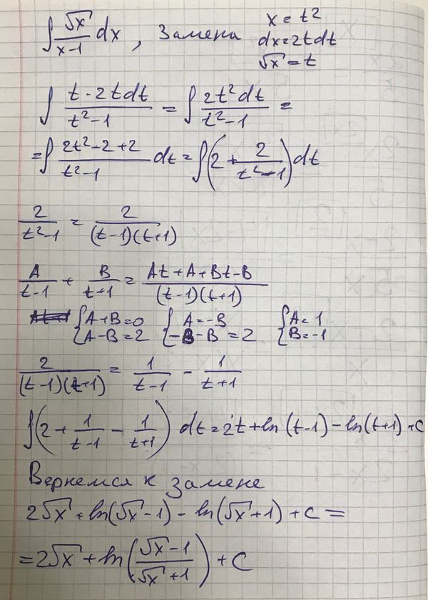
Найти неопределённый интеграл
5.13. ∫ (√x dx) / (x - 1) .
математика 10-11 класс
490
Решение
tolot
2020-05-25 22:04:38
★
Написать комментарий
Меню
Решим всё
Найти задачу
Категории
Статьи
Тесты
Архив задач
Присоединяйся в ВК