Задать свой вопрос
*более 50 000 пользователей получили ответ на «Решим всё»
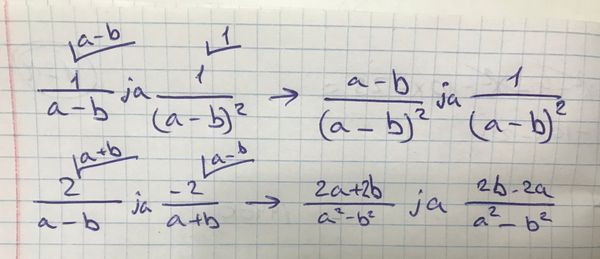
Задача 51567
Задание на картинке...
Условие
kurikoer
2020-05-25 20:12:20
Задание на картинке
предмет не задан
607
Решение
tolot
2020-05-25 20:52:12
★
Написать комментарий
Меню
Решим всё
Найти задачу
Категории
Статьи
Тесты
Архив задач
Присоединяйся в ВК