Задать свой вопрос
*более 50 000 пользователей получили ответ на «Решим всё»
Задача 51507
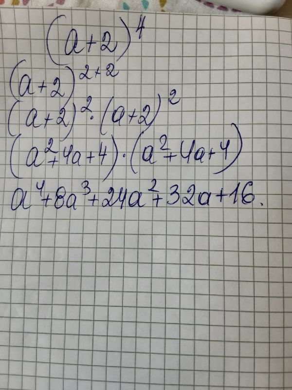
Избавиться от скобок (а+2)^4...
Условие
vk241661378
2020-05-25 13:35:39
Избавиться от скобок (а+2)^4
математика 10-11 класс
901
Все решения
kurikoer
2020-05-25 14:06:53
Написать комментарий
Меню
Решим всё
Найти задачу
Категории
Статьи
Тесты
Архив задач
Присоединяйся в ВК