Задать свой вопрос
*более 50 000 пользователей получили ответ на «Решим всё»
Задача 51286
Записати рівняння прямої, що дотикається...
Условие
annalysenko
2020-05-22 15:58:28
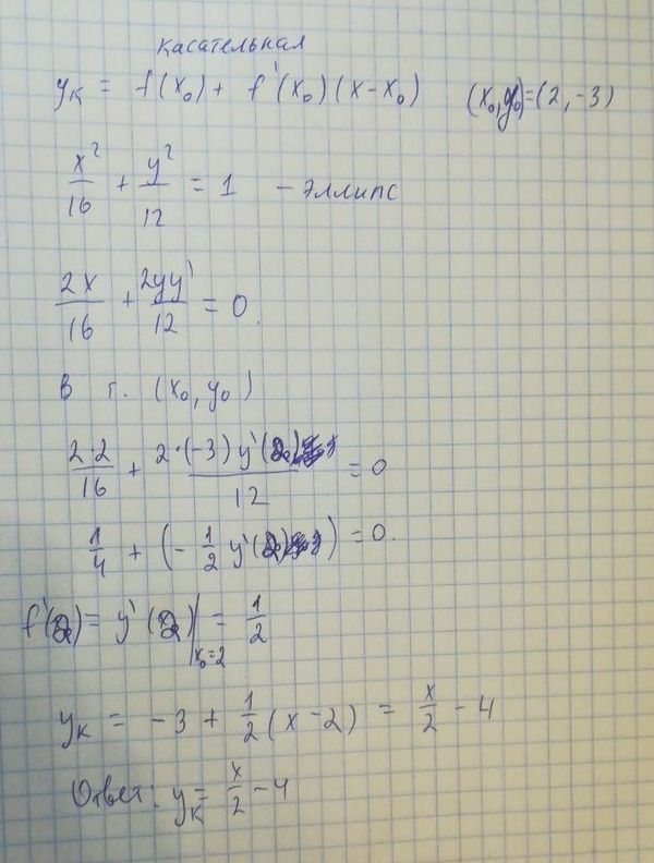
Записати рівняння прямої, що дотикається до еліпса x^(2)/16+y^(2)/12 у точці (2; – 3)
математика ВУЗ
889
Все решения
jelley
2020-05-22 17:41:25
Написать комментарий
Меню
Решим всё
Найти задачу
Категории
Статьи
Тесты
Архив задач
Присоединяйся в ВК