Задать свой вопрос   *более 50 000 пользователей получили ответ на «Решим всё»

Задача 51272 Найдите производную...

Условие

Найдите производную https://reshimvse.com/img/1590148056u.png функции:
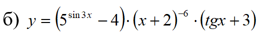
a) https://reshimvse.com/img/1590148121u.png
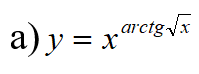
б) https://reshimvse.com/img/1590148175u.png

предмет не задан 576

О решение...

На нашем сайте такое бывает редко, но решение к данной задаче еще никто не написал.

Что Вы можете сделать?

  1. Выставите данный вопрос вновь. Перейдите на главную страницу.
  2. Найдите похожую задачу. Используйте поиск.

Написать комментарий

Меню

Присоединяйся в ВК