Задать свой вопрос   *более 50 000 пользователей получили ответ на «Решим всё»

Задача 51170 изменить порядок интегрирования и...

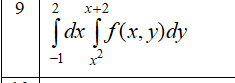
Условие

изменить порядок интегрирования и построить график

математика 818

Решение

Дана область вертикального вида.


D: -1 ≤ х ≤ 2; x^2 ≤ y ≤ x+2

y=x^2- линия входа в область

y=x+2 - линия выхода из области

Направление входа в область как у оси Оу



y=x^2 ⇒ x= ± sqrt(y)

x=-sqrt(y) левая ветвь параболы
х=sqrt(y) - правая

y=x+2 ⇒ x=[blue]y-2[/blue]

Как область горизонтального, ее надо разбить на две области:


D_(1): 0 ≤ y ≤ 1, -sqrt(y) ≤ x ≤ sqrt(y)

D_(2): 1 ≤ y ≤ 4; [blue]y-2[/blue] ≤ x ≤ sqrt(x)

Написать комментарий

Меню

Присоединяйся в ВК