Задать свой вопрос   *более 50 000 пользователей получили ответ на «Решим всё»

Задача 51144 Точка A и B, расположены на...

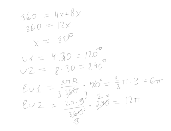
Условие

Точка A и B, расположены на окружности,делят эту окружность на дуги,градусные меры которых относятся как 4:8.Найдите длины этих дуг,если радиус окружности равен 9 см

начерт 8-9 класс 1007

Решение

Написать комментарий

Меню

Присоединяйся в ВК