Задать свой вопрос   *более 50 000 пользователей получили ответ на «Решим всё»

Задача 51141 ...

Условие

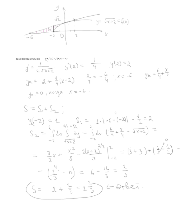
8. Найдите площадь фигуры, которая ограничена графиком функции y = sqrt(x + 2), касательной к нему в точке с абсциссой x₀ = 2 и прямой y = 0.

математика 772

Решение

Написать комментарий

Меню

Присоединяйся в ВК