Задать свой вопрос
*более 50 000 пользователей получили ответ на «Решим всё»
Задача 51040
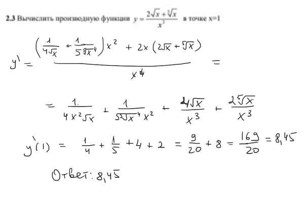
Помогите решить 2.3 срочно...
Условие
vk226434676
2020-05-20 22:12:57
Помогите решить 2.3 срочно
математика
577
Решение
jelley
2020-05-20 22:27:14
★
Написать комментарий
Меню
Решим всё
Найти задачу
Категории
Статьи
Тесты
Архив задач
Присоединяйся в ВК