Задать свой вопрос
*более 50 000 пользователей получили ответ на «Решим всё»
Задача 5103
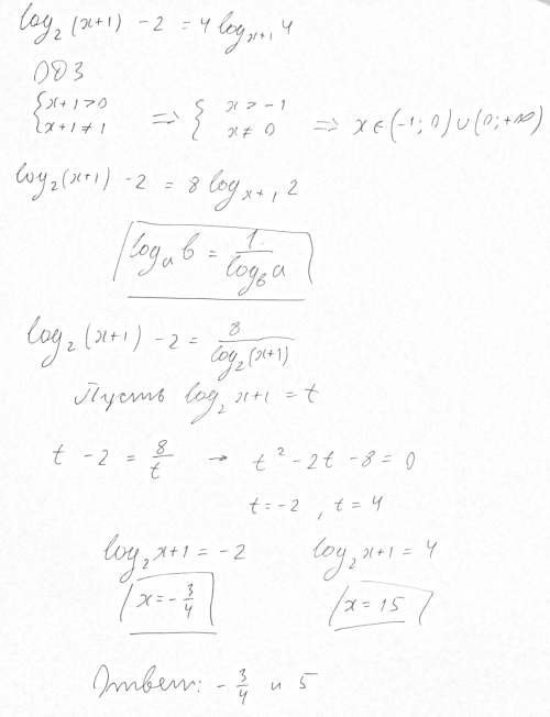
Решите уравнение log2(x+1)-2 =...
Условие
lora
08.11.2015
Решите уравнение log2(x+1)-2 = 4log(x+1)4
математика 10-11 класс
1604
Решение
slava191
08.11.2015
★
Написать комментарий
Меню
Решим всё
Найти задачу
Категории
Статьи
Тесты
Архив задач
Присоединяйся в ВК