Задать свой вопрос   *более 50 000 пользователей получили ответ на «Решим всё»

Задача 51021 Вычислить пределы функции у=f(x), при...

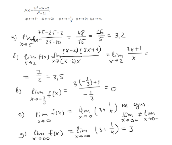
Условие

Вычислить пределы функции у=f(x), при указанном поведении аргумента x.

14. [m] f(x)=\frac{3x^2-5x-2}{x^2-2x} [/m];

а) [m] x \rightarrow 5 [/m];

б) [m] x \rightarrow 2 [/m];

в) [m] x \rightarrow -\frac{1}{3} [/m];

г) [m] x \rightarrow 0 [/m];

д) [m] x \rightarrow \infty [/m].

математика ВУЗ 546

Решение

Написать комментарий

Меню

Присоединяйся в ВК