Задать свой вопрос   *более 50 000 пользователей получили ответ на «Решим всё»

Задача 5102 Решите уравнение log((x+1)^2)...

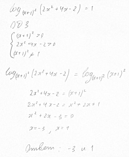
Условие

Решите уравнение log((x+1)^2) (2x^2+4x-2) = 1

математика 10-11 класс 1313

Решение

ОДЗ я тут не раскрывал, ибо это уравнение и тут проще просто подставить получившиеся корни в ОДЗ и посмотреть подходят они или нет

Написать комментарий

Меню

Присоединяйся в ВК