Задать свой вопрос
*более 50 000 пользователей получили ответ на «Решим всё»
Задача 51000
...
Условие
victoriya08
2020-05-20 16:20:18
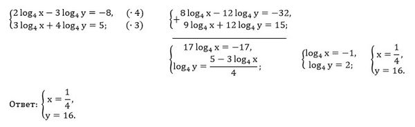
Реши систему уравнений.
{ 2 log₄ x - 3 log₄ y = -8
{ 3 log₄ x + 4 log₄ y = 5
математика 10-11 класс
558
Решение
u821511235
2020-05-20 16:36:15
★
Написать комментарий
Меню
Решим всё
Найти задачу
Категории
Статьи
Тесты
Архив задач
Присоединяйся в ВК