Задать свой вопрос   *более 50 000 пользователей получили ответ на «Решим всё»

Задача 50992 ...

Условие

Решить тригонометрические уравнения
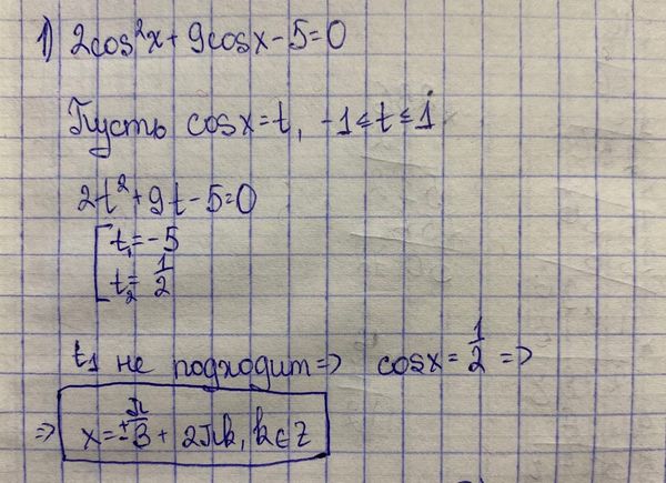
1) 2cos²x+9cosx-5=0
2) 2sin²(3x+π/6)+3sin(3x+π/6)+1=0
3) 4tg²x+25tgx-21=0
4) 5cos2x+9sinx-7=0
Заранее большое спасибо

математика 10-11 класс 1608

Решение

Вопросы к решению (1)

Написать комментарий

Меню

Присоединяйся в ВК